总目录:0 目录《间隔重复的历史》
巧了,SuperMemo 发明者也是计算机系的,膜一下。
本文前面的故事可看可不看(涉及 zzmg),但是后半篇写了模拟学习过程的几个结论,很有用!
先放结论:
- 学习曲线几乎是线性的
- 新的项目需要 5% 的时间
- 学习速度、学习负荷、最佳遗忘系数、记忆容量,请看文章。
PS:本文中 SuperMemo 所指的项目(item)可以对应为 Anki 中的卡片(card)
1986:SuperMemo 的第一步
纸上的 SuperMemo
1984 年 2 月 22 日,我在 22 岁的时候计算出,我需要 26 年的时间才能掌握基本的英语词汇。如果我的学习率没有提高,如果我不投入更多的时间,我就需要等到 48 岁高龄。这似乎是永远。随着纸上的 SuperMemo 的到来,这一统计数据在一夜之间得到显著改善。今天,在 SuperMemo 中,这个标准是 4 万单词,在 4 年 中每天 40分钟(见:高级英语)。对我来说,达到流利英语的时间缩短了 7 倍。
在 1985 年夏天,通过使用 SuperMemo on paper(纸上的 SuperMemo),我开始以极大的热情学习。我第一次知道,所有的学习投资都会有回报。任何东西都不能从缝里溜出去。这种早期的热情让我想知道为什么我没有和别人分享我的好消息。
SuperMemo 并不是许多用户用来给别人留下深刻印象的“秘密武器”。我只是想,科学一定已经回答了所有与高效学习有关的问题。我的印象是,我只是用自己的一点研究,弥补了自己接触西方文学的不足。我当时太天真了。我的英语不够好,听不懂西方的新闻。对我来说,美国是一个超级人类的国度,他们从事超级科学,登上月球,进行所有重大发现,很快就能治愈癌症,长生不老。与此同时,那里是里根的土地,他可以用他的潘兴(Pershing)导弹或巡航导弹(1979 年部署在欧洲)将波兰炸出地球表面。这让我做了几个噩梦。上世纪 80 年代初,核导弹可能是我唯一的主要压力来源。我经常思考幼儿和儿童大脑中惊人的不一致性。对我来说,20 岁出头的天真告诉我,我一定是一个大器晚成的人,发展很不平衡。不懂英语就等于不懂世界。我是一个年轻的成年人,有自己的长处,也有令人难以置信的无知。在这种情况下,间隔重复看起来就像一个需要无知、自信和激情的孩子。
大学:计算机科学
1985 年 10 月,我在(Poznan)理工大学开始了为期 5 年的计算机科学课程。在学习的第一周,我失去了对大学的热情。我们没有学习编程,而是学习了一些极其枯燥的入门课程:数学、物理、电子等。在繁忙的日程安排下,我可能很容易成为 SuperMemo 的辍学生。幸运的是,我对生物化学的热爱和对英语的需要并没有让我放慢脚步。我继续我的重复,不时地添加新的知识页。最重要的是,我有了一个新的梦想:拥有自己的电脑,自己编程。我想要实现的第一个东西是 SuperMemo。我会把我的知识页保存在电脑上,并安排它们自动复习。
直到 1987 年夏天(8 月 29 日),我才偶然向我的高中朋友 Andrzej "Mike" Kubiak 提到我的"超级学习方法"。我们一起踢足球和听音乐。我终于在 1987 年 11 月 14 日向他展示了如何使用 SuperMemo。我花了 836 天(2 年 3 个月 2 周)的时间招到了第一个 SuperMemo 用户。Mike 后来是我在程序学习中尝试 SuperMemo 的小白鼠。他一直在用类似 SuperMemo 的时间表练习电脑生成的节奏。对 Mike 来说,SuperMemo 让他一见钟情。他的词汇量飙升。他保持了多年的忠诚,直到他的英语水平超过了进一步学习的需要。他是个瑜伽哲学专家。他的印度之行和经常使用英语巩固了生活所必需的知识。
ZX Spectrum
在 1986 年和 1987 年,我越来越多地考虑在软件中实现 SuperMemo。奇怪的是,一开始,我并没有过多考虑将页分割成单独的抽认卡。这说明,当我们陷入每天做同样事情的例行公事时,我们的思维是多么封闭。要想进入 2018 年的状态,SuperMemo 必须经历几十次突破,以及类似的明显的微步骤。事后看来,这一切似乎都那么简单明了。然而,人类思维存在着一些隐藏的限制,阻碍了 10 年前出现的渐进阅读。这些限制中只有一小部分来自技术。
在大学的第一年,我几乎没有多余的时间和精力。我的大部分时间都花在买第一台电脑上:ZX Spectrum(1986 年 1 月)。1985 年秋天的一天,我从一个朋友那里借了一台,我完全被它的魔力迷住了。早在我得到这个玩具之前,我就开始“在纸上”编程了。我的第一个程序是“计划一天”。它是 Plan 的前身。1986 年 1 月 4 日,当我第一次打开 ZX Spectrum时,程序已经准备好输入计算机了。从那天起,我的大部分时间都花在编程上,不去上学,甚至在课堂上也把程序写在纸上。

图片:ZX Spectrum 8 位微机。由于计算机缺乏磁盘存储,无法在 ZX Spectrum上实现 SuperMemo。所有程序和数据都必须从盒式磁带中装入
军队生活
1986 年初,征兵的威胁破坏了这一进程。我以为再上 5 年大学就意味着再多 5 年的自由。然而,军队有不同的想法。对于波兰共产党军队来说,第二专业不算数。我不得不拼命避免服兵役。我从来没有想过要和我最好的新朋友 ZX Spectrum 分开 12 个月,这让我的愤怒翻了三倍。我告诉那些穿制服的人,他们真的不想看到一个拿着枪的愤怒的人站在他们的队伍里。幸运的是,在共产主义官僚主义的混乱中,我设法逃脱了惩罚,继续我的学业。直到今天,我对自由问题仍然特别敏感。征兵制和奴隶制没有太大不同。这不是以打击法西斯主义的名义进行的征兵。这是一种征兵制,要进行盲目的操练、鸡皮疙瘩、早早地拉响警报、匆匆忙忙地吃热腾腾的饭,还要承受巨大的压力。如果这是为共产主义集团的准备,这将是一个准备的优秀士兵什维克军队。今天,数以百万计的孩子被送进学校,类似于奴隶制度。请阅读我的“我永远不会送我的孩子上学”,我对强制践踏儿童人权的看法。我相信我的一些情绪是从 1986 年开始就被奴役的感觉所塑造的。
当切尔诺贝利的放射性云团经过波兰波兹南的那一天,我正忙着在这座巨大的城市里一个接一个地走动,参观军事和文职办公室,以避免服兵役。我成功了!1986 年夏天是有史以来阳光最充足的夏天之一。我每天都在编程、慢跑、用 SuperMemo 学习、游泳、足球,以及更多的编程。
1986 年的夏天
我对新软件的欲望是无止境的。我写程序,为了音乐作曲、预测世界杯结果、3D 井字游戏、写学校的考试等等。我在生物化学系( Adam Mickiewicz 大学)找到了几份工作。我心目中的英雄,Augustyniak 教授,需要一种软件来模拟 DNA 的融化,以及对 tRNA 基因的快速搜索(几年后,这篇论文发表在了同行评议上)。他还委托了一个用于回归分析的程序,这个程序后来启发了 SuperMemo(特别是算法 SM-6 和 SM-8)的发展。
在编程的时候,我的脑子里一直有 SuperMemo,但是,我所有的软件都没有任何数据库。这些程序必须从磁带上读取,这是一个主要的阻碍(这在 1986 年并没有困扰我)。把我的 SuperMemo 知识写在纸上要简单得多。我开始梦想有一台更大的电脑。然而,在共产主义的波兰,成本是无法承受的。有一次,我计算出一台 IBM 个人电脑的成本相当于我母亲在共产主义制度下的终身工资。直到 1989 年,在一次学生培训期间,我还买不起荷兰的厕所,因为与波兰的工资相比,荷兰的厕所贵得离谱。在那些日子里,我每天只吃一根香蕉就能在国外生活。
我的第一台私人电脑:Amstrad PC 1512
我们全家都动用了资源。我的堂兄 Garbatowski 博士为德国马克转账安排了一个特殊的外汇账户。由于某种难以解释的奇迹,我能够买得起 1000 德国马克 的 Amstrad 个人电脑 1512。这台电脑并不像媒体曾经报道的那样是走私来的。我失败的走私行动是在两年前为了获得 ZX Spectrum 而进行的。我在 Zaire 的朋友打算在西柏林给我买。最后,我在波兰以很好的价格从一个人那里买了二手的 ZX Spectrum,他认为自己卖的“只是一个键盘”。

图:Amstrad PC-1512 DD。我的版本只有一个磁盘驱动器。操作系统 MS-DOS 必须从一个磁盘加载,Turbo Pascal 3.0 必须从另一个磁盘加载,SuperMemo 必须从另一个磁盘加载。直到 1991 年我有了自己的第一个硬盘,我的英语集合不得不分成 3000 个部分。我的 39000 条项目被保存在13个磁盘上。我有很多其他领域的知识。1997 年 1 月 21 日,SuperMemo World 找到了那台最初的个人电脑,并从它的主人 Jarek Kantecki 手中买了回来。这台个人电脑在整整十年里功能齐全。现在它被埋在公司尘封的档案中。也许我们会在某个时候发布它的照片。图片来自维基百科
我的德国 Amstrad-Schneider PC 1512 是从一家波兰公司 Olech 订购的。1987 年 6 月,Olech 公司将交付这款产品。他们在九月份做的。这让我整个夏天都很紧张。过了一段时间,Krzysztof Biedalak 从一家荷兰公司 Colgar 订购了一台 PC,但一直没收到一台 PC 或退款。如果这件事发生在我身上,我就失去了对人类的信任。这将扼杀 SuperMemo。这可能扼杀了我对电脑的热情。另一方面,Biedalak 坚忍地继续努力工作,挣回了更多的钱。这将是我和 Biedalak 之间的主要性格差异之一。压力恢复力应该是开发的组成部分之一。我通过自律训练(例如:冬泳、马拉松等),培养了自己的抗压能力。Biedalak 丢了钱,但他没有抱怨。他很快就把它拿了回来。很快我就嫉妒起他那台闪闪发光的新电脑来。他的努力工作和实现目标的决心一直是公司生存的关键。正是他自己的私人收入帮助 SuperMemo World 熬过了最初的几个月。他没有从父母那里得到礼物。他总是能独立做事。
模拟学习过程
1986 年 2 月 22 日,我使用 ZX Spectrum 编写了一个程序,用 SuperMemo 模拟长期学习过程。我担心随着材料的积累,学习过程会明显放缓。然而,我的初步结果与直觉相反:进展几乎是线性的。在最初的学习阶段之后,学习的速度不会慢很多。
1986 年 2 月 25 日,我扩展了模拟程序,增加了一些新功能,可以回答“关于记忆的迫切问题”。这个程序将在 Spectrum 上运行 5 天,直到我可以获得 80 年学习的全部结果。它证实了我最初的发现。
1986 年 3 月 23 日,我成功地用 Pascal 编写了同样的仿真程序,Pascal 是一种编译语言。这一次,我可以在 70 分钟内运行 80 年的模拟。我得到了同样的结果。今天,SuperMemo 仍然可以运行类似的模拟。同样的过程只需要一两秒钟。

图:SuperMemo 可以使用在重复过程中收集的真实数据模拟 15 年以上的学习过程
该模拟的一些结果今天仍然有效。下面我将介绍一些最初的发现。有些可能在 1990 或 1994 中进行了修改。
学习曲线几乎是线性的
使用间隔重复模型得到的学习曲线除初始阶段外,几乎是线性的:

图:一般材料的学习曲线,遗忘系数为 10%,每天学习时间为 1 分钟。
新的项目需要 5% 的时间
在一个长期的过程中,遗忘系数等于 10%,并且每日学习时间固定,则平均花费在记忆新事物上的时间仅占总重复时间的 5%。这个值几乎与学习材料的多少无关。
学习速度
根据模拟,每天学习一分钟,连续几年记忆的项目数可以用以下公式近似:
NewItems=aar*(3*e^(-0.3*year)+1)
式中:
- NewItems - 每天学习一分钟,连续几年记住的东西
- year - 年数
- aar - 渐进习得率,即经过多年重复(通常为 200 项/年/分钟)后达到的最低学习率
在一个长期的过程,遗忘系数等于 10%,学习一般材料的平均学习率可以近似为 200 - 300 项/年/分钟,即每天一分钟的学习导致每年 200 - 300 项的习得。SuperMemo 的用户通常报告平均学习速度为 50 - 2000 项/年/分钟。
学习负荷
对于一般材料和大约 10% 的遗忘系数,可以大致用公式近似出每项每天重复所需时间的函数:
时间=1/500*年-1.5+1/30000
上式中:
- 时间 - 在某一年里,每个项目每天重复的平均时间(以分钟为单位)
- 年 - 进程的年数
由于单个项目的重复所需要的时间几乎与学习材料的总长度无关,所以可以用上面的公式来近似任何长度的学习材料的学习负荷。例如,第一年 3000 个项目集合的总将是 3000/500*1+3000/30000=6.1 (分钟/天)。

图片:学习负荷,以分钟为单位,在一般的 3000 项学习材料,遗忘系数等于 10%。
最佳遗忘系数
当遗忘系数约为 20-30%时,总的知识获取率最高。这是由于随着遗忘系数的上升,减少重复的学习负荷和增加重新学习的学习负荷之间的权衡。换句话说,更大的遗忘系数导致更长的间隔,但是必须重新学习的大量遗忘项目带来的额外学习负荷抵消了这一收益。
对于遗忘系数大于 20% 的情况,间隔效应所产生的长时间间隔对记忆的积极影响被越来越多的遗忘项所抵消。

图:知识习得率与遗忘系数的关系
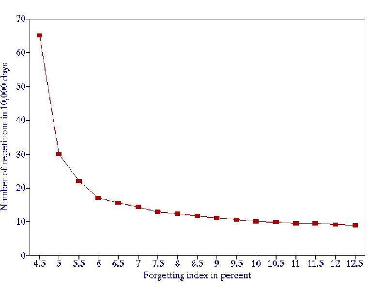
当遗忘系数降到 5% 以下时,重复学习负荷会迅速增加(见上图)。在学习实践中,遗忘系数的推荐值为 6-14%。

图:知识保留(遗忘系数)与学习负荷(平均 10000 天内重复一项的次数)之间的权衡
在后来的几年里,人们发现最佳遗忘系数的值会因使用的工具而不同(例如Algorithm SM-17)。
例如,使用间歇学习模型,我认为最优值可能在 5-10% 范围内:

图11.2.学习负荷-保留率权衡:一方面,如果遗忘系数低于 5%,那么学习负荷就会显著增加,而对记忆没有显著影响。另一方面,超过 10% 的遗忘系数,学习负荷几乎没有变化,而保留率却在稳步下降。显然,学习负荷-保留率权衡直接对应了习得率和保持率之间的折衷。通过增加 X 倍的时间可用性(减少学习负荷 X 倍),就可以增加习得率 X 倍(比较第 5 章)。注意,该模型中遗忘系数与保留率的关系几乎是线性的。(来源:优化学习:间歇学习模型,Piotr Wozniak, 1990)
记忆容量
我的学习模式让我对人类一生中记忆的最大容量相当悲观。到 1990 年,我说我怀疑我将永远不会看到任何人在记忆中有超过百万的 SuperMemo 项目(假设有 SuperMemo 级别的回忆率):
人类大脑通过基于间隔重复的学习过程获取新知识的最大寿命容量可以估计为不超过几百万个项目。因为没有人可能把他的一生都花在学习上,我怀疑我将永远不会看到任何人在他的记忆中有一百万个项目